알고리즘의 효율성 분석을 위한 만능 공식은 없음. 대신, 몇몇 기본적인 방법들이 존재함.
알고리즘 분석은 대체로 안에서 바깥쪽으로 진행됨.
1. 순차적 규칙(Sequencing Rule)

P1과 P2가 알고리즘의 두 부분이라고 한다면,
각각은 하나의 명령어이거나 복잡한 서브-알고리즘일 것임.
추가로, t1과 t2를 P1과 P2의 실행에 걸리는 시간이라고 했을 때
순차적 규칙에 의하면, P1과 P2의 실행에 거리는 시간은 단순히 t1+t2임.
최대 규칙(Maximum Rule)에 따르면, 이 시간은 θ( max{t1, t2} )임.
2. for 반복문
for i ← 1 to m, do
P(i);
이 반복은 큰 알고리즘의 일부이고, 사이즈 n짜리 인스턴스에서 동작함.
2-1. P(i)에 걸리는 시간이 i와 관계가 없을 때 (= 모든 P(i)에 걸리는 시간이 동일할때)
P(i) 실행에 걸리는 시간이 t라 가정하면,
P(i) 의 실행은 m 번 반복 되고, 각각 t 시간만큼 걸리므로, 해당 반복문은 총 mt 만큼 걸림.
2-2. P(i)에 걸리는 시간이 i와 관계가 있을 때
P(i)에 걸리는 시간 관련 함수를 t(i)라 가정. t(i)는 i 뿐 아니라 인스턴스 크기 n이나, 인스턴스 자체에도 영향을 받을 수 있음. 반복에 걸리는 총 시간은 $\sum_{i=1}^m t(i)$임.
3. 재귀 호출
알고리즘을 간단히 살펴보다보면 종종 회귀적인 방정식으로 표현 가능한걸 알 수 있음.
일단 회귀적인 방정식이 얻어지면, 일반적인 방법을 사용해 간단한 비재귀적인 점근 표기법으로 변환이 가능함.
예시 < 피보나치 수열 >
$f_0 = 0, f_1 = 1 (n<2 $ 인 경우$)$
$f_n = f_{n - 1}+f_{n - 2} (n\geq2$ 인 경우$)$
function Fibrec(n)
if ( n < 2 )
then return n
else return ( Fibrec(n-1) + Fibrec(n-2) )
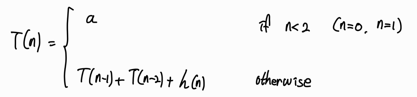
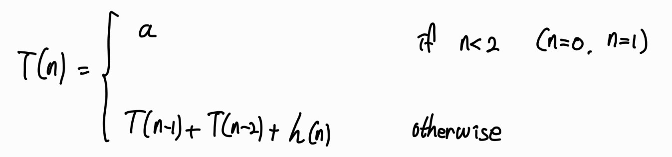
T(n) 이 Fibrec(n)에 걸리는 시간이라 가정.
n < 2 인 경우, T(n)은 상수 시간 a 만큼 걸림. (Big-O로는 O(1)로 표기)
그 외의 대부분의 작업은 두 재귀 호출에서 이루어지며, 이는 각각 T(n-1), T(n-2) 만큼 걸림.
추가로, $f_{n-1}$과 $f_{n-2}$의 합하는 시간이 필요함 ( T(n-1)+T(n-2) )
h(n) 이 그 합하는 시간과 재귀 제어에 필요한 시간이라고 가정하면, T(n)은 다음과 같음.

※참고※ 탐색 알고리즘 종류와 시간 복잡도
a. 정렬 + 이분 탐색 < O(nlogn) + O(logn) >
b. 선형 탐색 < O(n) >
c. 해싱 < O(1) >
4. while 과 repeat(= do-while) 반복문
몇 회 반복할지 명시되어 있지 않아서 for문에 비해 예측이 어려움.
가장 쉬운 방법은 매번 반복될 때마다 줄어드는 변수와 관련된 함수를 찾는 것임.
재귀 알고리즘처럼 접근하는 방법도 있음.
예시 < 이분 탐색 >
감소하지 않는 순서(크거나 같은 순서)로 정렬된 배열 D[1, ..., n] 안에서 요소 x의 인덱스 i 찾기.

function BinartSearch (D[1, ..., n], x)
{
h ← 1; t ← n;
while ( h < t ) do
{
m ← ( h + t ) / 2 # d
case x < D[m] : t ← m-1; # case 1
case x = D[m] : h, t ← m; return m; # case 2
case x > D[m] : h ← m+1; # case 3
} # d^ (d caret)
return (h); #not found
}
4-1. 표준적인 방법
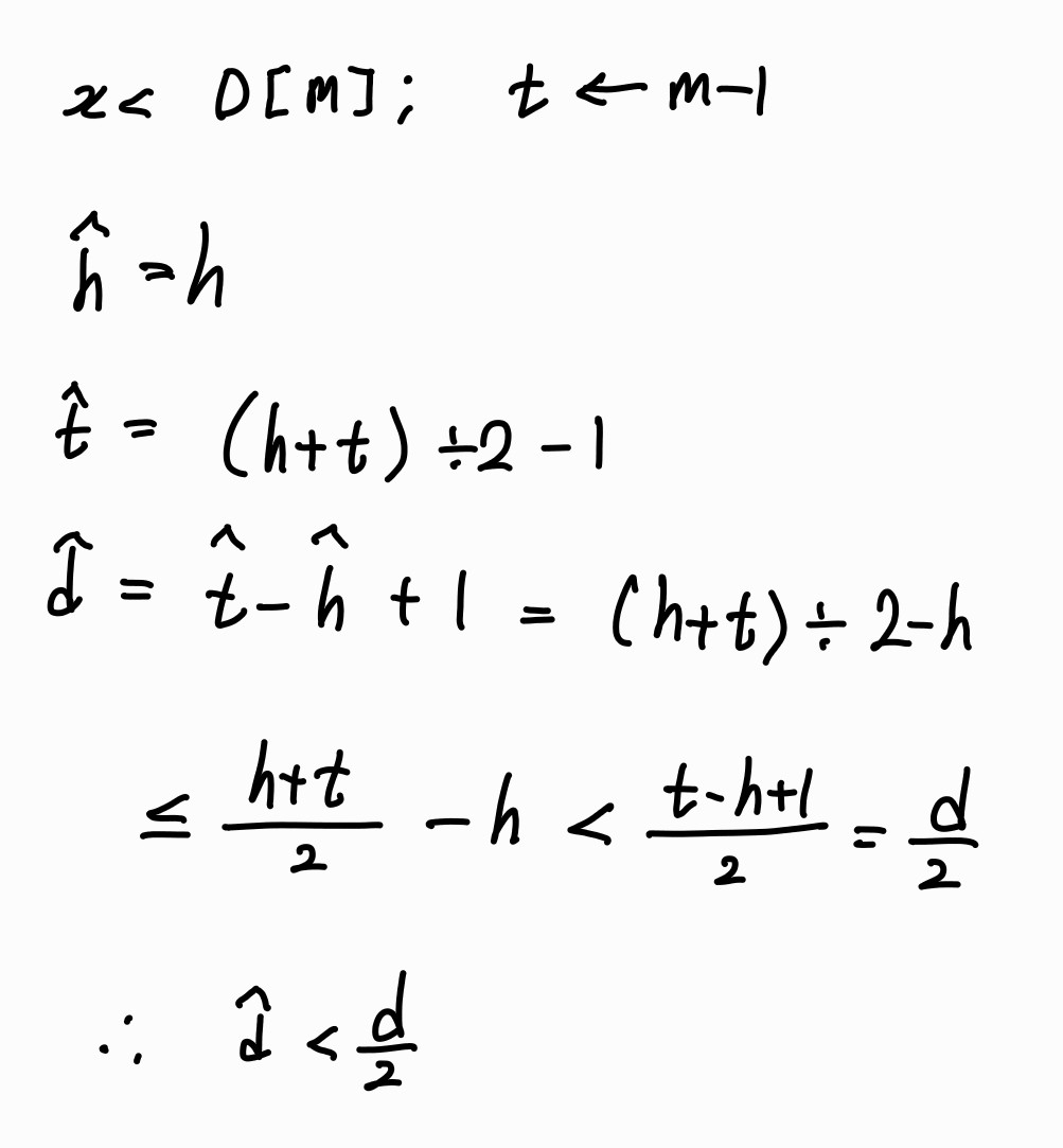
d = t - h + 1 (d는 배열 D의 총 요소 개수)
처음에, d = n임.
반복은 $h\geq t$이면 끝나며, 이는 의미상으로 $d\leq 1$와 같음.
$d$ 와 $\hat{d}$가 각각 반복 전과 후의 $t - h + 1$값이라고 가정.
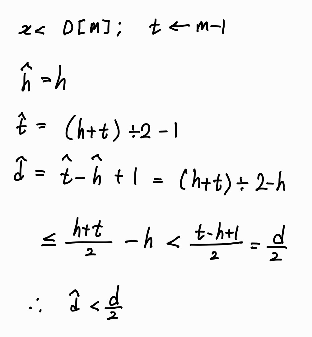
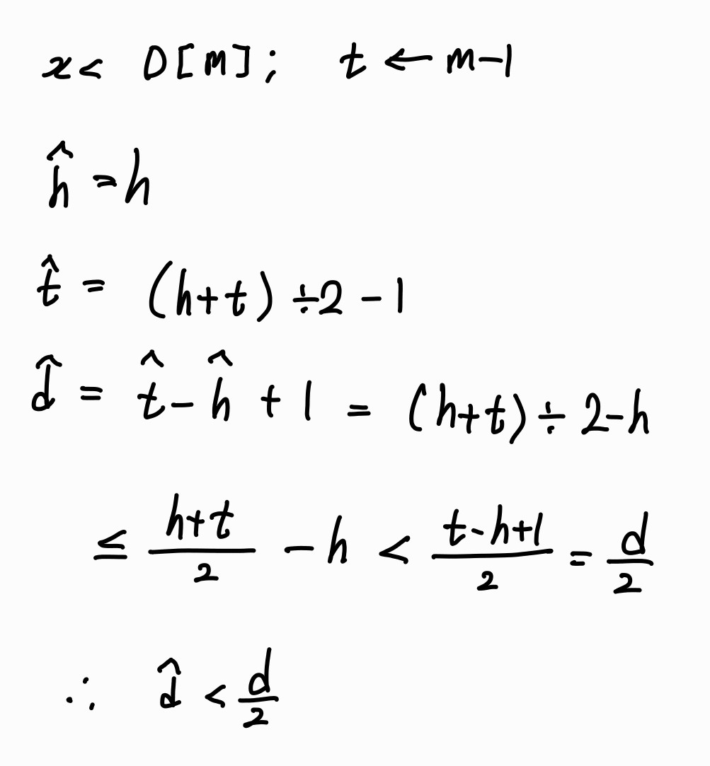
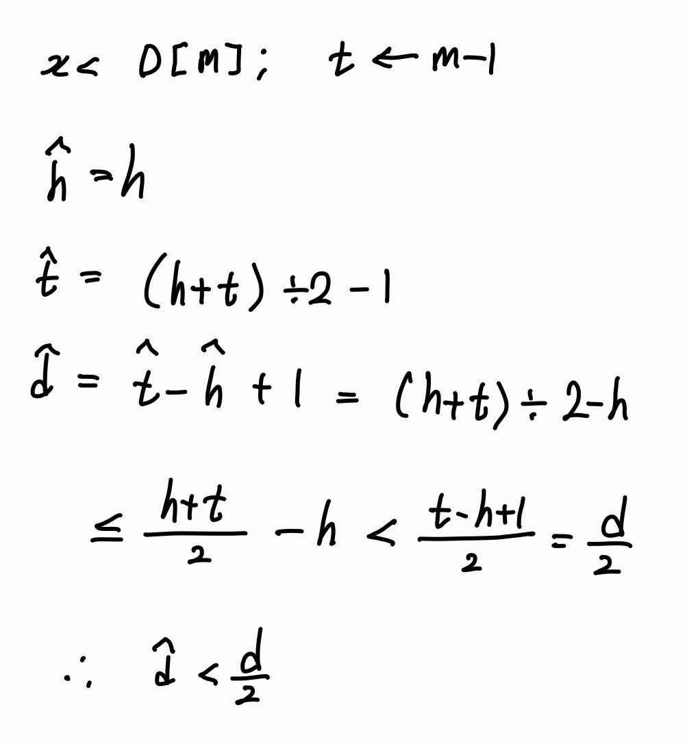
case 1 ) (상단 코드 주석에 달린 case 참고)

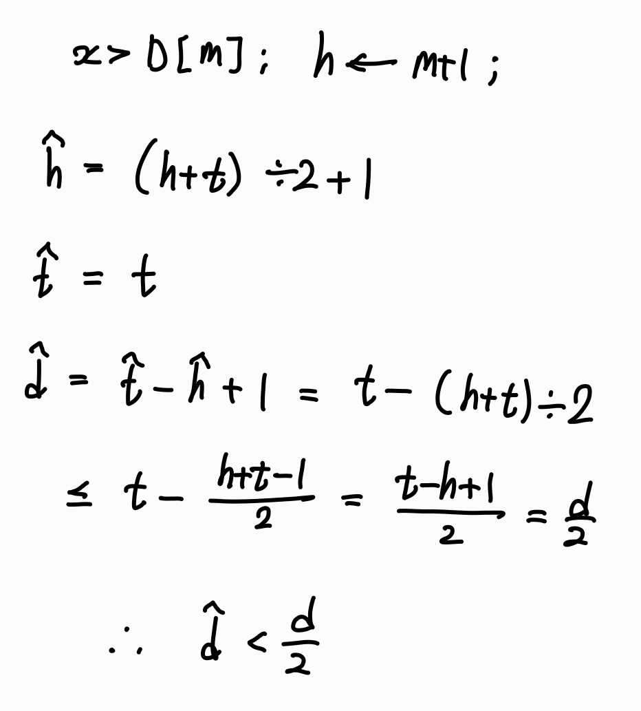
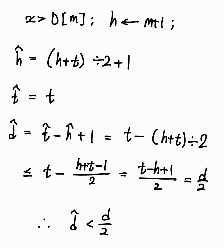
case 3 )

case 2 )

어떠한 경우에도 $\hat{d} = d/2$ 라는 결론이 나오며, 이는 매 반복마다 d가 최소 절반으로 줄어든다는 것을 의미함.
- 이분 탐색의 최대 실행 시간
$d_l$이 $l$번째 반복($l\geq 1$) 이후 $t-h+1$값을 의미하고, $d_0=n$이라 가정하면,
$d_{l-1}$은 $l$번째 반복 전의 $t-h+1$값이므로, 모든 $l\geq 1$에 대해 $d_l\leq d_{l-1}\div 2$임이 증명됨.
수학적 귀납법에 의해, $d_l\leq n\div 2^l$임.
반복은 $d\leq 1$일때 끝나고, 이는 $l=$⌈ $log_2 n$ ⌉일때 임. (⌈ ⌉ 기호는 올림을 의미함.)
결론적으로, 반복은 최대 ⌈ $log_2 n$ ⌉ 번 만큼 실행되고 각 반복은 상수 시간($O(1)$)만큼 걸리므로, 이분 탐색은 $O(log_2 n)$의 시간복잡도를 가짐.
4-2. while 반복문을 재귀처럼 생각하기
매 반복마다, 배열 내 x의 범위를 줄여 나감.
t(d)가 $t-h+1\leq d$일때 while 반복문을 끝내기 위한 최대 시간이라 가정. (=고려해야할 요소의 수가 최대 d 개 있음.)
매 반복마다, t - h + 1은 최소 절반으로 줄어듬.
재귀적으로, 이는 t(d)가 매 반복 마다 최대 $b+t(d\div 2)$ 만큼의 시간을 필요로 한다는 것을 의미함.

function BinarySearch ( D[1, n], x )
{
k ← ( 1+n ) ÷ 2
if ( D[k] = x ) then return k;
if ( x < D[k] ) then return ( BinarySearch( D[1, k-1], x) );
if ( x > D[k] ) then return ( BinarySearch( D[k+1, n], x) );
}
t(n) 이 BinarySearch( D[1,n], x )를 호출해서 사용되는 시간이라고 할 때, 증명은 다음과 같음.

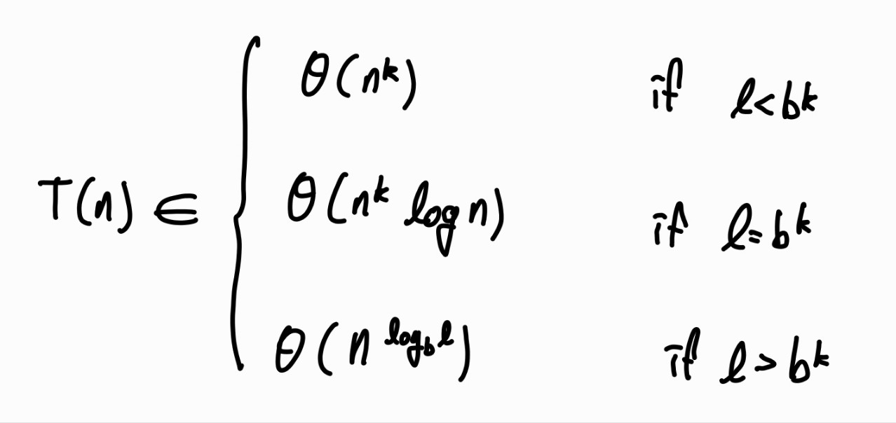
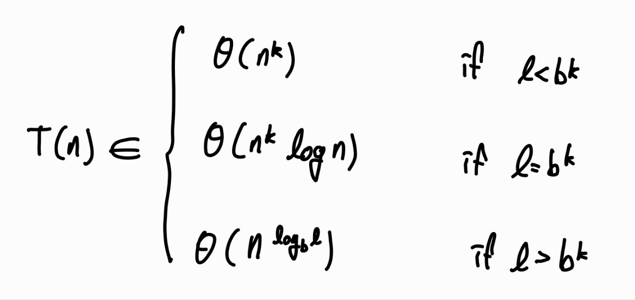
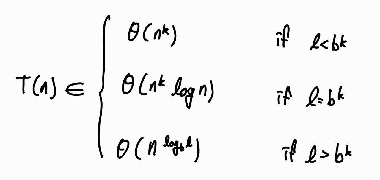
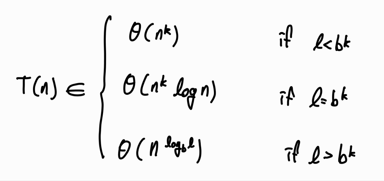
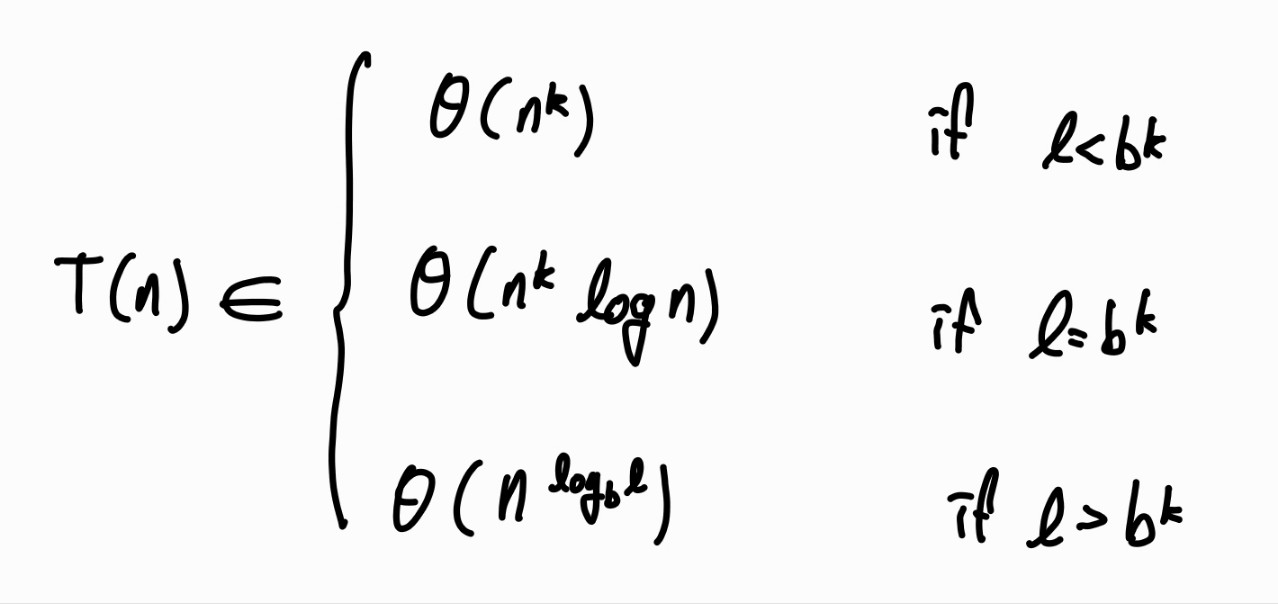
※ 마스터 정리(Master Theorem)
상수 $n_0\geq 1, l\geq 1, b\geq 0, k\geq 0$는 정수이고, $c$는 0이 아닌 양의 실수 임.
$ T:N→R^+ $ 가 감소하지 않는(non-decreasing) 함수라 가정할때 $T(n) = l*T(n/b)+c*n^k (n\geq n_0)$ 라면, 시간 복잡도는 다음과 같음.

'Data Structure & Algorithm > Algorithm' 카테고리의 다른 글
| 03. 그리디 알고리즘(Greedy Algorithm) (1) | 2023.10.23 |
|---|---|
| 01. 알고리즘이란 (1) | 2023.10.11 |